Este blog servirá para poder visitar datos curiosos sobre física y química.

jueves, 17 de diciembre de 2015

elemenentos del laboratorio



En los laboratorios de química hay muchos objetos imprescindibles y también hay sustancias .
Peo hoy vamos a hablar de algunos de los elementos esenciales de un laboratorio :


PIPETA :
La pipeta es un instrumento volumétrico de laboratorio que permite medir la alícuota de un líquido con bastante precisión. Suelen ser de vidrio. Está formada por un tubo transparente que termina en una de sus puntas de forma cónica, y tiene una graduación (una serie de marcas grabadas) con la que se indican distintos volúmenes.
Algunas son graduadas o de simple aforo.
 

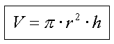
Para calcular la densidad de cualquier objeto hay una formula :






Moneda de 5 centimos :

Las monedas de 5 céntimos de euro son de acero recubierto de cobre. Tienen un diámetro de 21,25 mm, un grosor de 1,67 mm y un peso de 3,92 gramos. Su borde es liso.


Masa : 3´92 g

Volumen:





v= 3´14 x 10´625mm x 10´625mm x 0´0167mm
3´14 x 0´10625cm x 0´10625cm x 0´0167cm
3´14 x 0´01128906cm x 0´0167
0´0005919757cm
2´07 cm3 (aprox)


Densidad = 3´92g/2´07cm3 =1´90

DENSIDAD = 1´90